CSWM
RCZ
CSWG
CSJS
ESG
CSDG
NIZ
OSMG
RCTM
Présentation
Accueil
Président
Bureau de ligue
Commissions
Stades
Arbitres
Désignations
Textes & Réglements
Docs à télécharger
Contactez-nous
Espace Média
Galerie des Photos
Galerie des Vidéos
Liens Utils
LRF Ouargla
Ligue Inter-Régions
L.N.F Amateur
Ligue Professionnel
FAF
Union Arabe de Football
CAF
FIFA
Membres
Identifiant :
Mot de passe :
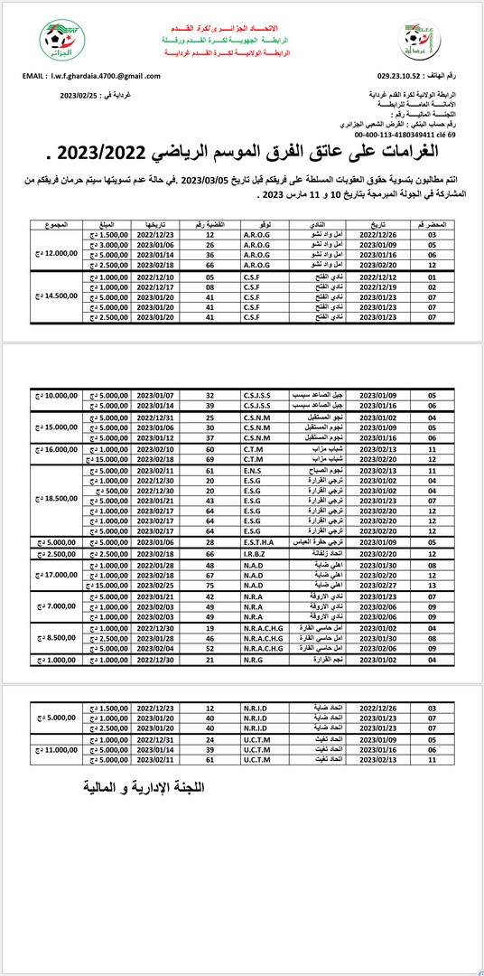
الغرامات على عاتق الفرق الموسم الرياضي2022/2023
écrit le: 27 February 2023 à 09:42
Tous droits réservés © 2014 - 2026 Ligue Wilaya de Football - Ghardaia.